Скважинный насос IBO 3.5 SDM 3/15 кабель 20 метров

Артикул: 2000048291062

688.15 Br

17 Посетителей смотрят этот продукт прямо сейчас!

Характеристики

Мощность Вт

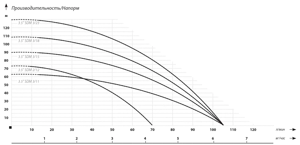
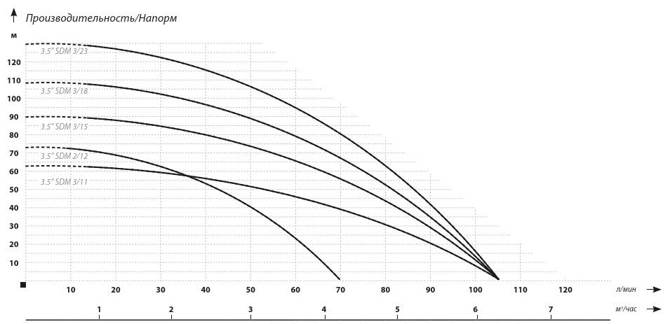
90 м

Макс. расход м3/час

6.3 м³/час

Диаметр разъема соединения

1½"

Диаметр

3.5"

Назначение

водоснабжение

Метод установки

погружной

Материал корпуса

нержавеющая сталь

Номинальная производительнос

1.57 м³/час

Номинальный напор (м)

22.5 м

Температура перекачиваемой ж

1 — 35 C°

Глубина

15 м

Описание

IBO 3.5 SDM 3/15 кабель 20 метров многоступенчатые погружной скважинный насос диаметром 90 мм, с повышенной устойчивостью к песку, рассчитаны на установку в скважину 90-125 мм. Эффект повышенной устойчивости к песку был достигнут благодаря использованию «плавающих лопастных колес» и применению износостойких рабочих элементов. Конденсатор насоса IBO 3.5 SDM 3/15 кабель 20 метров встроен в двигатель, благодаря чему электрическая установка намного проще, чем в случае насосов со стартовой коробкой. Насос комплектуется кабелем 20 м. Скважинный насос IBO 3.5 SDM 3/15 кабель 20 метров оснащены тепловой защитой, установленной в обмотке двигателя. Из-за частых перегревов насос может выйти из строя. Насосы имеют такую же конструкцию как и серия 3ti, однако они характеризуются более высокой производительностью до 70 л/мин. Максимальная напорная характеристика насоса составляет 90 м при мощности электродвигателя 1100 Вт. Гарантия на скважинный насос IBO 3.5 SDM 3/15 кабель 20 метров составляет 2 года.

Графические характеристики

IBO 3.5 SDM 3/15 кабель 20 метров

Условия работы насоса ИБО:

  • Максимальная температура жидкости 35°С
  • Максимальная температура окружающей среды 35°С
  • Класс изоляции B
  • Режим работы – непрерывный
  • Безопасность – IP68

Материалы насоса ИБО:

  • Корпус всасывания / нагнетания: латунь
  • Корпус: нержавеющая сталь AISI 304
  • Вал и ротор: нержавеющая сталь AISI 304
  • Лопастное колесо: норил
  • Диффузор: норил
  • Механический сальник: Керамика/Sic/NBR
  • Двигатель: с масляным охлаждением
  • Частота вращения двигателя: 2850 об/мин

IBO 3.5 SDM 3/15 кабель 20 метров

Установка скважинного насоса IBO 3.5 SDM 3/15 кабель 20 метров


  1. Насос

  2. Ниппель

  3. Обратный клапан

  4. Муфта соединительная

  5. Труба

  6. Трос

  7. Зажимы

  8. Кабель

  9. Оголовок

  10. Штуцер 5-ти выводной

  11. Реле давления

  12. Манометр

  13. Штуцер 3-х ходовой

  14. Реле сухого хода

  15. Гидроаккумулятор

  16. Гибкая подводка

  17. Кран шаровый

  18. Компрессионные муфты

Купить скважинный насос IBO 3.5 SDM 3/15 кабель 20 метров в Минске

Купить высокопроизводительный скважинный насос IBO 3.5 SDM 3/15 кабель 20 метров вы можете в нашем магазине. В нашем магазине вы также сможете укомплектовать вашу скважину под ключ. Если у вас возникнут вопросы касательно оборудования вы всегда можете связаться с нашими специалистами и получить профессиональную консультацию. После оформления заказы мы в кратчайшие сроки доставим заказанный вами товар на указанный адрес, также вы можете посетить наш магазин или забрать заказанный насос с пункта самовывоза.

 

Отзывы